Trang chủ
Giới thiệu
Liên hệ
Trường Cao đẳng Lương thực - Thực phẩm
Phân hiệu tại TP. Hồ Chí Minh
Menu
ĐÀO TẠO
XÉT TUYỂN
Phòng chức năng
Khoa Chuyên Môn
Tin tức
Hoạt động Đoàn thể
Tài nguyên học tập
Đăng ký xét tuyển trực tuyến
Trang chủ
Phòng chức năng
Phòng Quản lý đào tạo
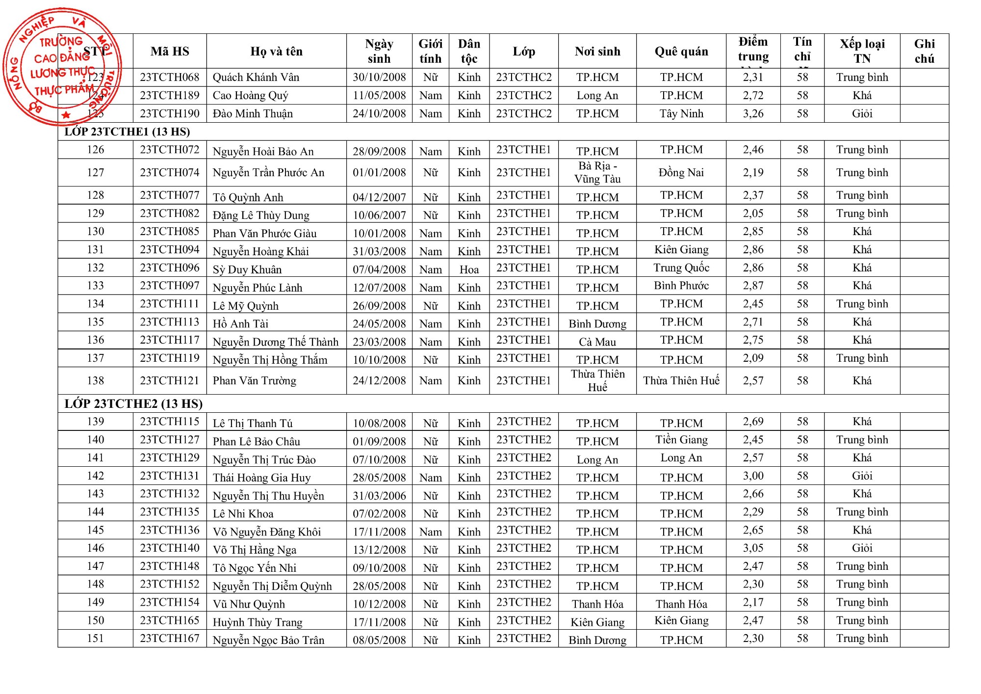
Danh sách HSSV tốt nghiệp
Danh sách HSSV tốt nghiệp
Giới thiệu phòng Quản lý đào tạo
Danh sách HSSV tốt nghiệp
Chương trình đào tạo
Lịch thi
Mẫu biểu Đào tạo
Văn bản - Quy định về đào tạo
Danh sách HSSV tốt nghiệp
26/11/2025
Quay lại
Ý kiến bạn đọc
Gửi ý kiến
Đóng
BÀI VIẾT KHÁC
Giới thiệu Phòng Hành chính - Quản trị
Giới thiệu phòng Quản lý đào tạo
Văn phòng
Chương trình đào tạo
Phòng Quản trị
Lịch thi
Trang chủ
Phòng chức năng
Khoa - tổ bộ môn
Công tác học sinh
Công tác học sinh
Tài nguyên học tập
Tin tức - sự kiện
Trang thông tin học sinh
Video
Hình ảnh
Giới thiệu
Liên hệ